• Предмет: Алгебра
  • Автор: sashkag98
  • Вопрос задан 10 лет назад

решите пожалуйста уравнение

Приложения:

Ответы

Ответ дал: Ekaterina1819
0
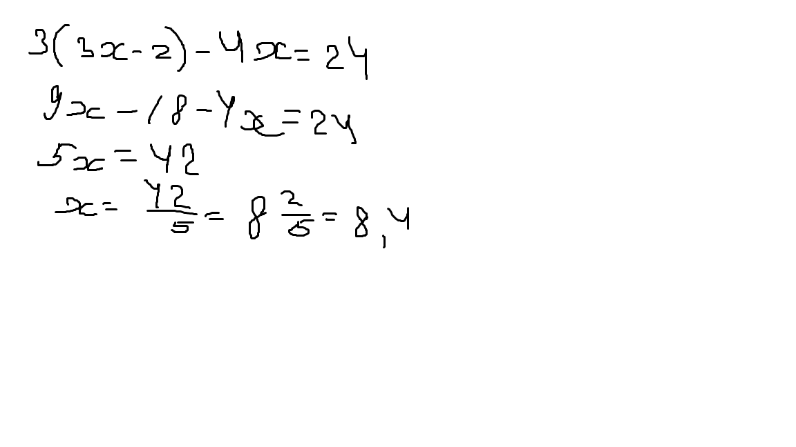
Получится вот так :)
Приложения:
Ответ дал: chrstnaloud
0
У вас ошибка в решении. Как 3*2 у вас получилось 18?
Ответ дал: chrstnaloud
0
Решение на фото, х=6
Приложения:
Вас заинтересует