• Предмет: Алгебра
  • Автор: Пельмежжжжка
  • Вопрос задан 10 лет назад

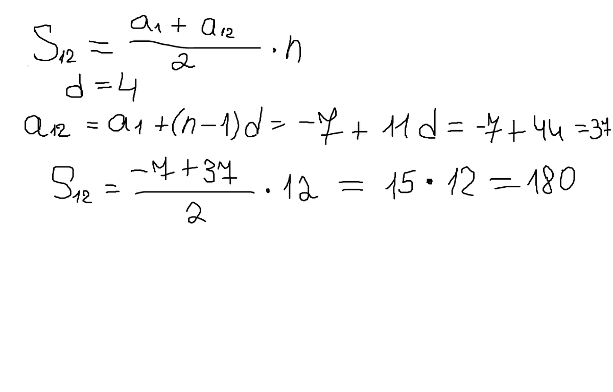
Дана арифметическая прогрессия: -7 ; -3 ; 1... Найдите сумму первых 12  членов

Ответы

Ответ дал: Alissium
0
Кривовато конечно, но, думаю, поймёшь.
Приложения:
Ответ дал: Пельмежжжжка
0
Спасибо большое!!!)
Ответ дал: Alissium
0
Не за что ;)
Вас заинтересует