• Предмет: Алгебра
  • Автор: yulianaRo
  • Вопрос задан 10 лет назад

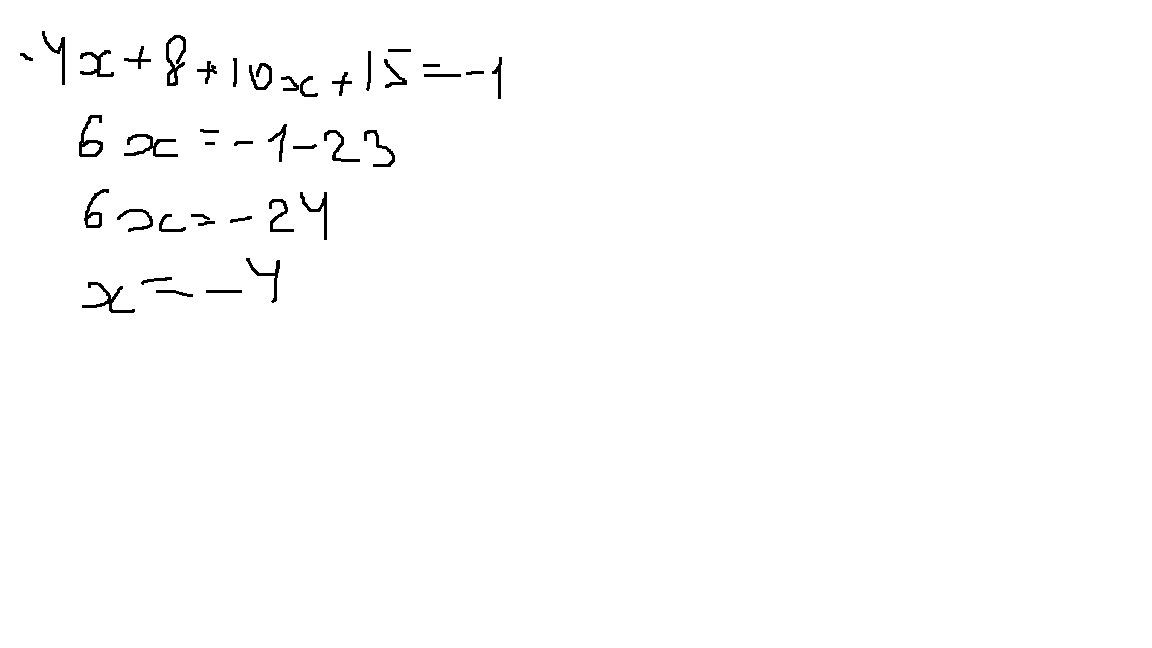
решите уравнение -4(x-2)+5(2х+3)=-1

Ответы

Ответ дал: Ekaterina1819
0
Получится вот так :)
Приложения:
Ответ дал: yulianaRo
0
СПАСИБО,ребятки!
Вас заинтересует