Ответы
Ответ дал:
0
если на ионы, то так:
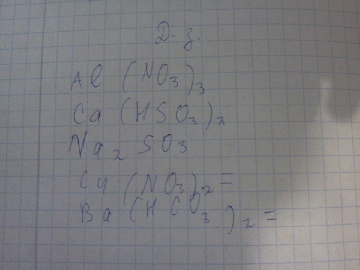
1. = AI⁺³ + 3NO₃⁻¹
2. = Ca⁺² + 2HCO₃⁻¹
3. = 2Na⁺ + SO₃⁻²
4. = Cu⁺² + 2NO₃⁻¹
5. = Ba⁺² + 2HCO₃⁻¹
1. = AI⁺³ + 3NO₃⁻¹
2. = Ca⁺² + 2HCO₃⁻¹
3. = 2Na⁺ + SO₃⁻²
4. = Cu⁺² + 2NO₃⁻¹
5. = Ba⁺² + 2HCO₃⁻¹
Вас заинтересует
3 года назад
3 года назад
8 лет назад
8 лет назад
11 лет назад
11 лет назад