РЕБЯТА, помогите пожалуйста! Очень срочно , пожалуйста с полным решением.
№1.
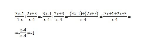
Выполните сложение: 3х-1 + 2х+3
4-х х-4
№2. У Дмитрия есть 10 купюр по 5 грн, а у Николая - 10 купюр по 2 грн. Сколько купюр должен отдать Дмитрий Николаю, чтобы у них стало поровну денег?
Ответы
Ответ дал:
0
1)10*5=50 грн у Дмитрия
2)10*2=20 грн у Николая
3)50+20=70 грн у обоих
4)70:2=35 грн должно быть у каждого
5)50-35=15 грн должен отдать Дмитрий
6)15:5=3 купюры должен отдать Дмитрий
=======================
первое задание на картинке
2)10*2=20 грн у Николая
3)50+20=70 грн у обоих
4)70:2=35 грн должно быть у каждого
5)50-35=15 грн должен отдать Дмитрий
6)15:5=3 купюры должен отдать Дмитрий
=======================
первое задание на картинке
Приложения:
Вас заинтересует
3 года назад
3 года назад
8 лет назад
11 лет назад
11 лет назад
11 лет назад