• Предмет: Алгебра
  • Автор: illbred
  • Вопрос задан 10 лет назад

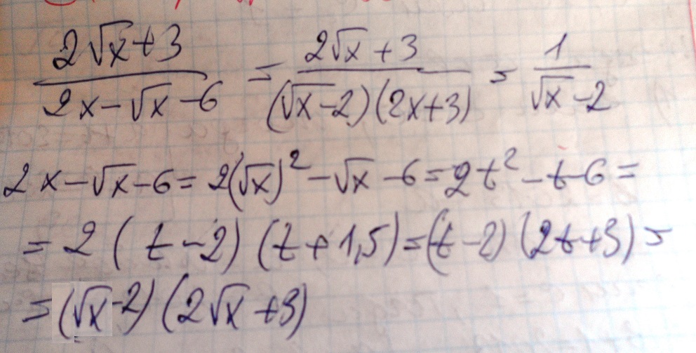
Помогите упростить выражение, пожалуйста)

Приложения:

Ответы

Ответ дал: infor5
0
трехчлен в знаменателе раскладываем на множители по формуле ax^2+bx+c=a(x-x1)(x-x2)

Можно еще освободиться от рациональности в знаменателе
Приложения:
Вас заинтересует