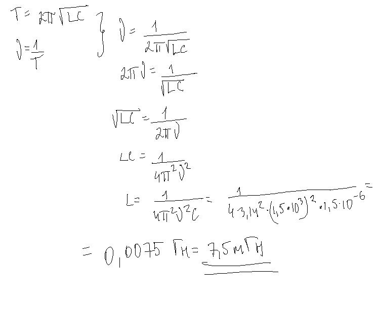
колебательный контур, в котором имеется конденсатор емкостью 1,5 мкФ, надо настроить на частоту 1,5 кГц. Какая для этого потребуется индуктивность?
Ответы
Ответ дал:
1
......................................................
Приложения:
Вас заинтересует
3 года назад
3 года назад
8 лет назад
8 лет назад
10 лет назад
10 лет назад
11 лет назад
11 лет назад