Ответы
Ответ дал:
0
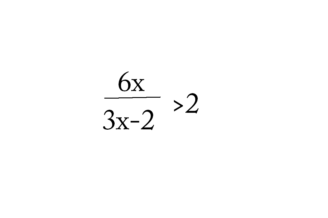
переносим 2 в левую часть, приводим к общему знаменателю, приводим подобные, приводим к виду, чтобы были скобки-множители (x-a), потом отмечаем эти точки а на прямой и пишет ответ
Приложения:

Ответ дал:
0
Большое спасибо.
Вас заинтересует
2 года назад
2 года назад
8 лет назад
10 лет назад
10 лет назад