Ответы
Ответ дал:
0
используя формулы
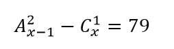
, k>0, n>0 разложим

(x-2)(x-1)-x=79
x²-3x+2-x=79
x²-4x-77=0
по т. Виета
х1+х2=4
х1*х2=-77
х1=11
х2=-7- не удовлетворяет условию
(x-2)(x-1)-x=79
x²-3x+2-x=79
x²-4x-77=0
по т. Виета
х1+х2=4
х1*х2=-77
х1=11
х2=-7- не удовлетворяет условию
Вас заинтересует
8 лет назад
8 лет назад
11 лет назад
11 лет назад
11 лет назад
11 лет назад