• Предмет: Химия
  • Автор: Fisher96
  • Вопрос задан 11 лет назад

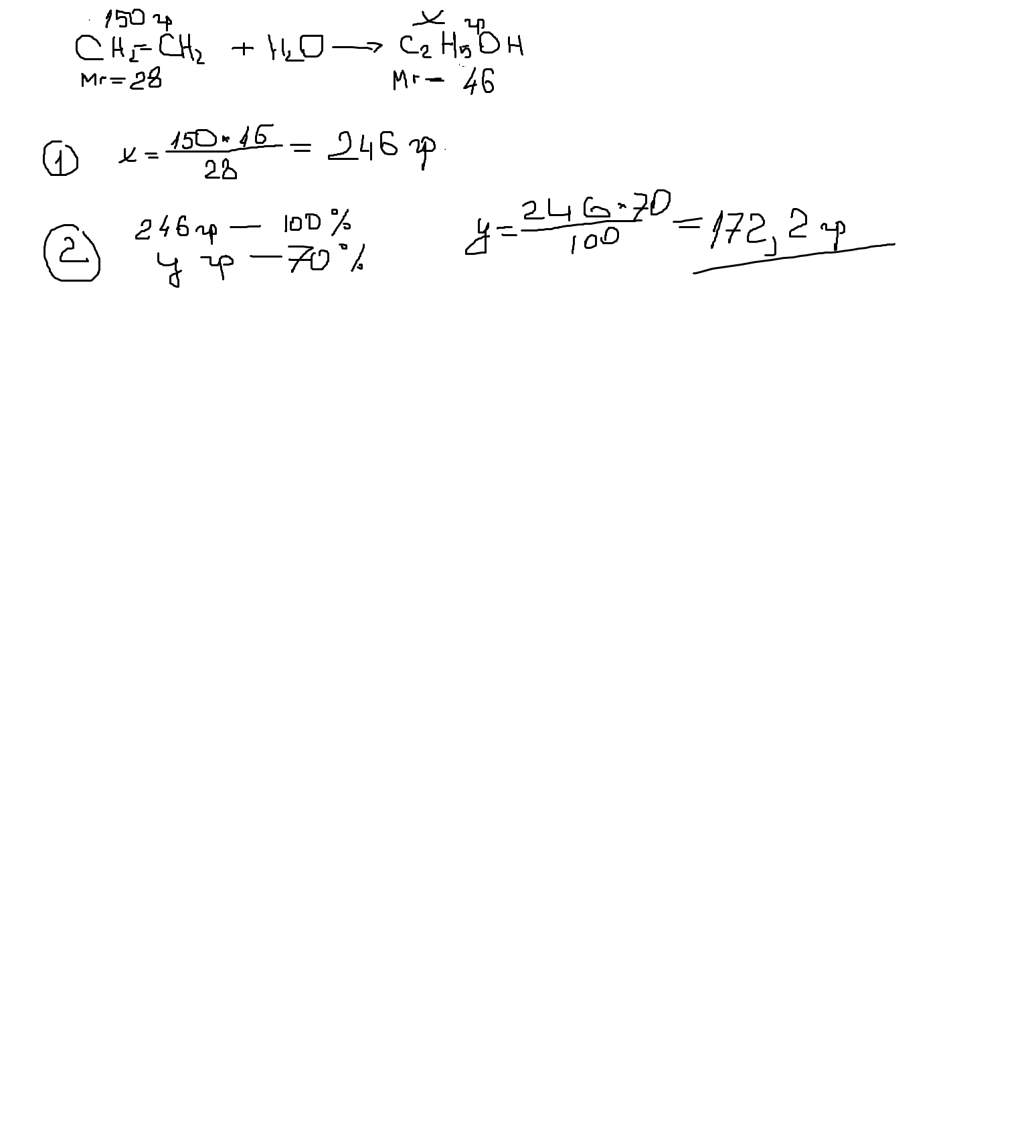
вычислите массу спирта полученного при гидратации 150 г этилена,если практический выход спирта составляет 70%

Ответы

Ответ дал: DianaI
0

см. вложение (извини, что неаккуратно)

Приложения:
Вас заинтересует