• Предмет: Математика
  • Автор: mik142002
  • Вопрос задан 10 лет назад

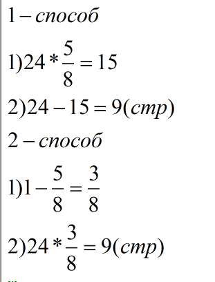
N648 помогите пожалуйста

Приложения:

Ответы

Ответ дал: flaymak
0
2 способами.
qweqweqwe
Приложения:
Вас заинтересует