• Предмет: Алгебра
  • Автор: unicorn
  • Вопрос задан 11 лет назад

Сократить дробь.829 б,г,е,з
ПОЖАЛУЙСТА 

Приложения:

Ответы

Ответ дал: IOriOnI
0

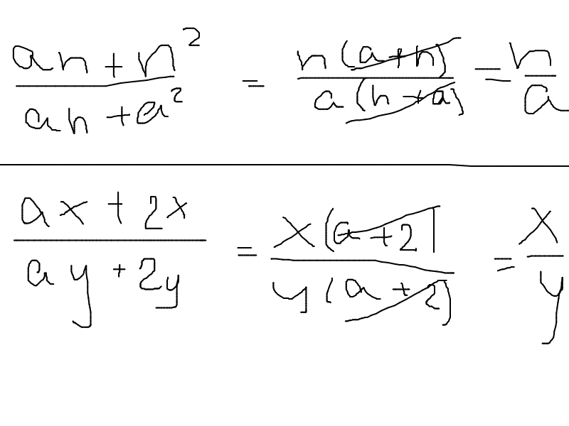
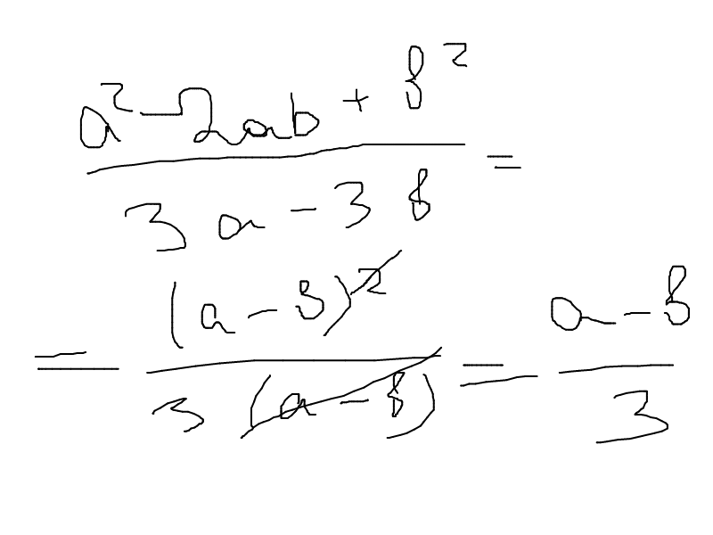
№829

 

б)  3-6с / 2-4c  = 3(1-2c) / 2(1-2c) = 3/2 = 1,5

 

г)ax-2x / ay-2y  = x(a-2) / y(a-2) = x/y

 

е) an+n^2 / an+a^2 = n(a+n) / a(n+a) = n /a

 

з) a^2-2ab+b^2 / 3a-3b = (a-b)^2  / 3(a-b) = (a-b) / 3

Ответ дал: Violochka
0

б) (3-6с)/(2-4с)

3(1-2с)/2(1-2с)

3/2

1,5

а остальные в документах написано.

Приложения:
Вас заинтересует
11 лет назад