• Предмет: Алгебра
  • Автор: нусс
  • Вопрос задан 11 лет назад

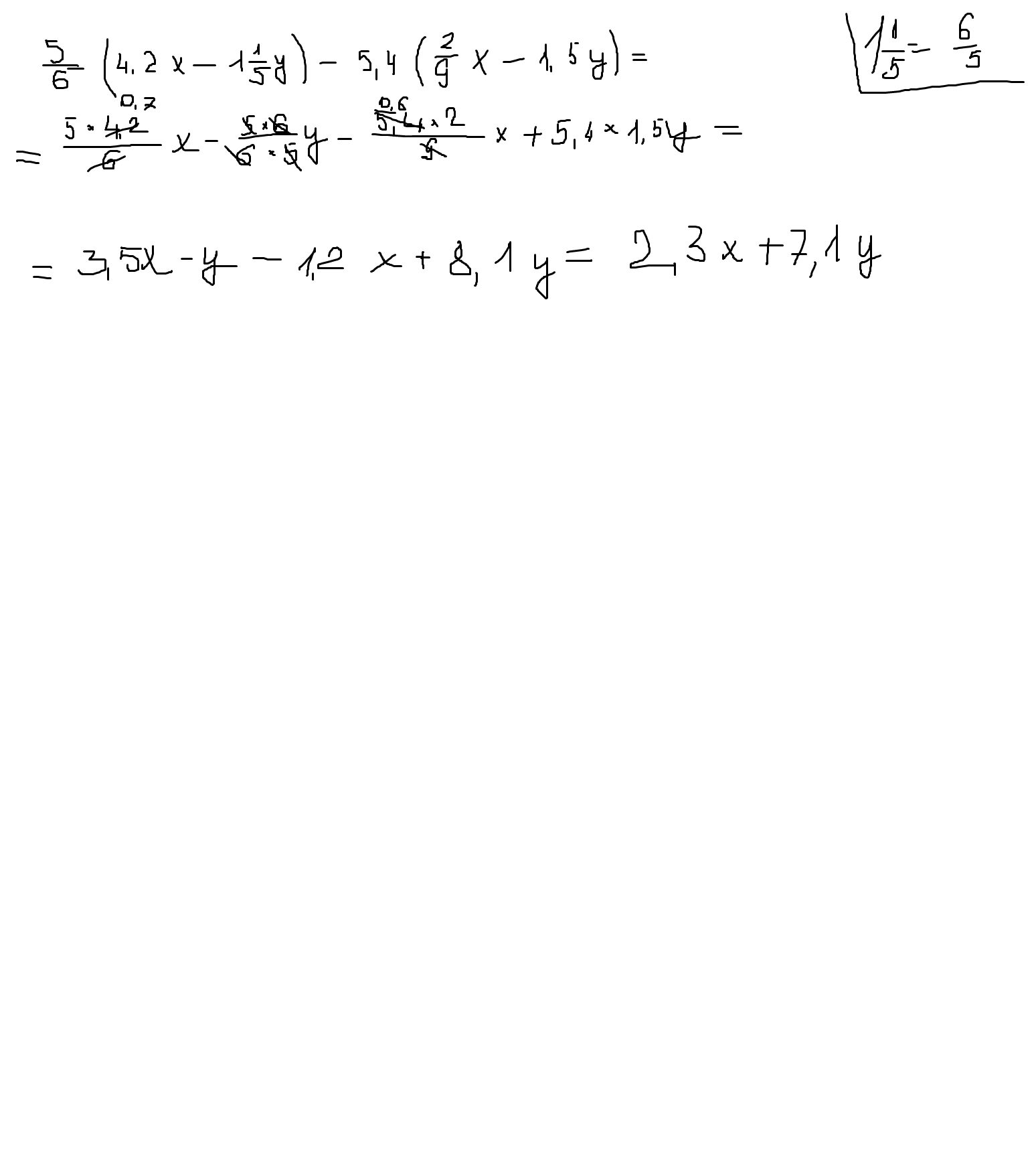
5/6(4,2х-1 1/5у)-5,4(2/9х-1,5у)Упростить

Ответы

Ответ дал: grexvit
0

3,5x-y-1,2x+8,1y=2,3x+7,1y

Ответ дал: DianaI
0

смотри вложение.........

Приложения:
Вас заинтересует