• Предмет: Алгебра
  • Автор: анека2000
  • Вопрос задан 10 лет назад

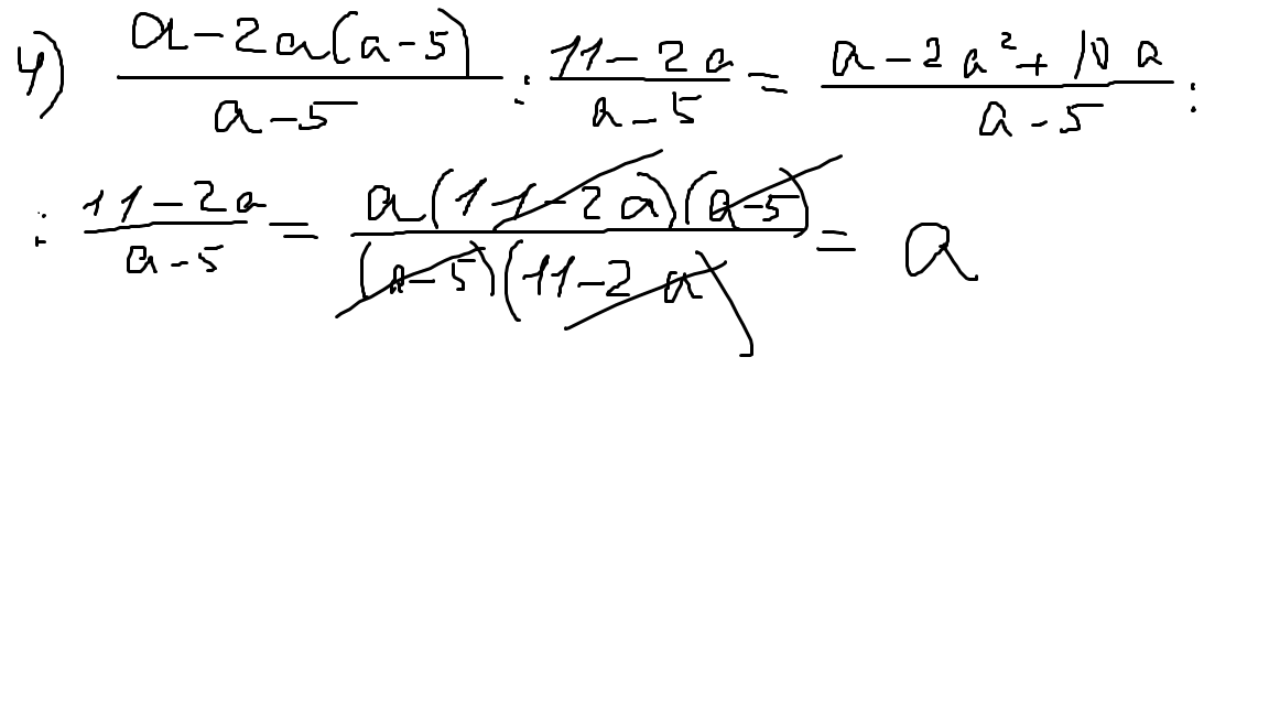
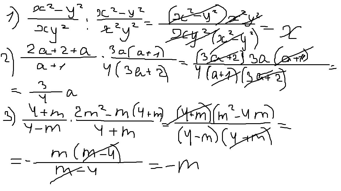
помогите сделать алгебру 292 ( 1, 2, 3, 4)

Приложения:

Ответы

Ответ дал: Ekaterina1819
0
Получится вот так :)
Приложения:
Вас заинтересует