• Предмет: Математика
  • Автор: ermakova201
  • Вопрос задан 10 лет назад

Помогите решите со всеми действиями.
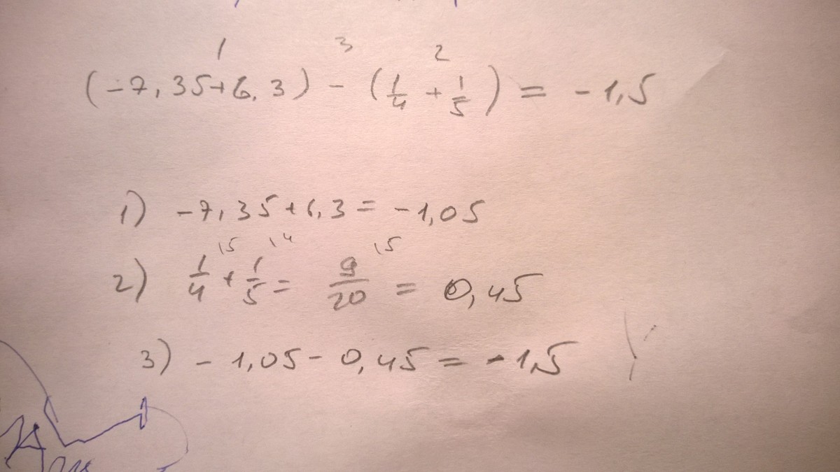
(-7.35+6.3)-(1/4+1/5)

Ответы

Ответ дал: СмайлПлюс
0
(-7.35+6.3)-(1/4+1/5)=-1.05-9/20=-1.05-0.45=-1.5
Приложения:
Ответ дал: ermakova201
0
ТЫ ФОТО КИНУЛ*?
Ответ дал: СмайлПлюс
0
зас сюда залью
Ответ дал: ermakova201
0
ЖДУ
Ответ дал: ermakova201
0
СПС
Вас заинтересует