• Предмет: Математика
  • Автор: Kattyko1212
  • Вопрос задан 10 лет назад

178-90/91 (дроби) помогите плиз

Ответы

Ответ дал: Nastya4489
0
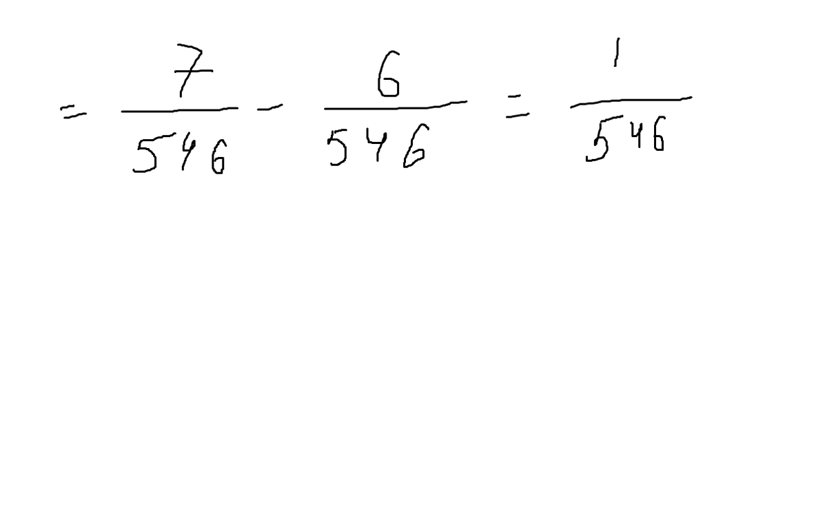
находишь общий знаменатель  546 и получается 7/546-6/546 и равно 1/546
Приложения:
Вас заинтересует