Ответы
Ответ дал:
0
Решение прикреплено файлом!
Приложения:

Ответ дал:
0
http://znanija.com/task/5786303 помогите:333
Ответ дал:
0
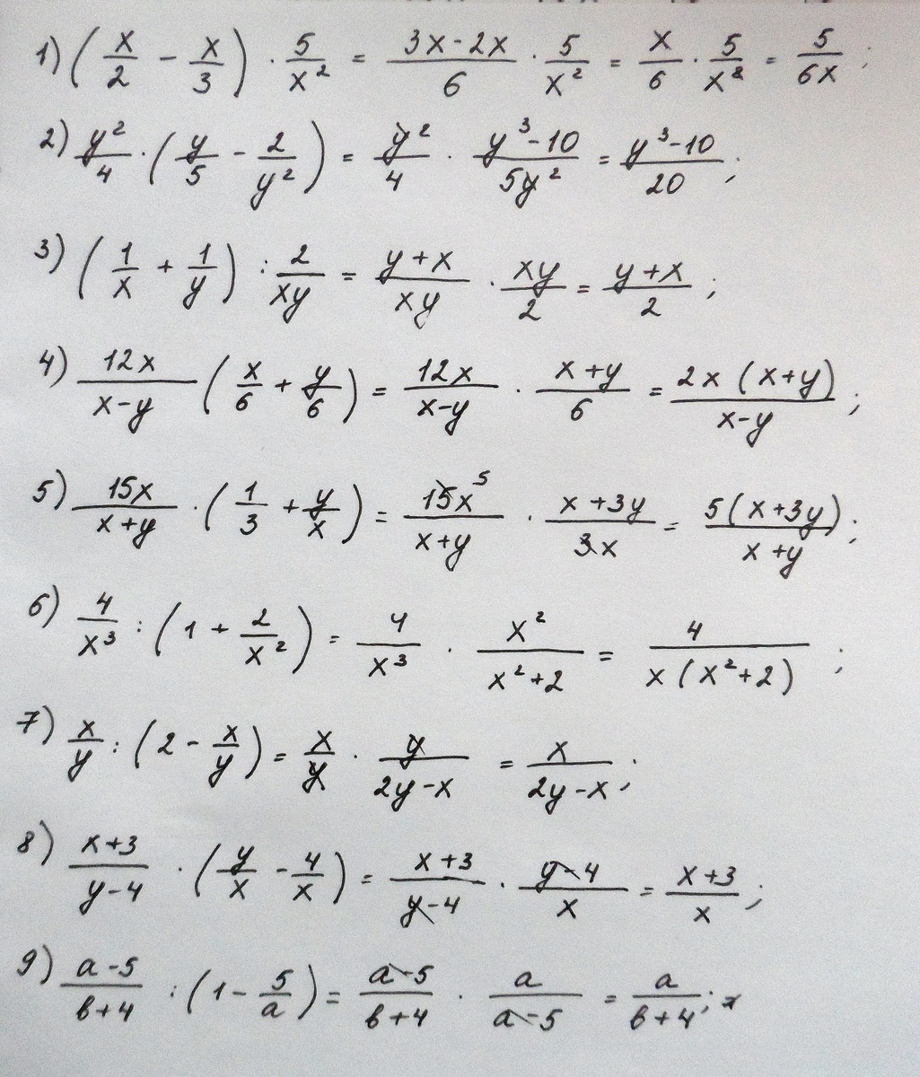
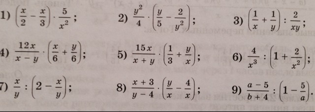
1)(3х-2х)/6*5/х²=х/6*5/х²=х*5/6*х²=5/6х
2)у²/4*(у³-10)/5у²=у²*(у³-10)/4*5у³=(у³-10)/20
3)(у+х)/ху :2/ху=(у+х)*ху/ху*2=(у+х)/2
4)12х/(х-у) : (х+у)/6=12х*6/(х-у)*(х+у)=72х/(х²-у²)
5)15х/(х+у)*(х+3у)/3х=15х*(х+3у)/(х+у)*3х=5(х+3у)/(х+у)
6)4/х³ : (х²+2)/х²=4*х²/х³*(х²+2)=4/х(х²+2)
7)х/у : (2у-х)/у=х*у/у*(2у-х)=х/(2у-х)
8)(х+3)/(у-4) * (у-4)/х=(х+3)(у-4)/(у-4)х=(х+3)/х
9)(а-5)/(в+4) : (а-5)/а=(а-5)*а/(в+4)*(а-5)=а/(в+4)
2)у²/4*(у³-10)/5у²=у²*(у³-10)/4*5у³=(у³-10)/20
3)(у+х)/ху :2/ху=(у+х)*ху/ху*2=(у+х)/2
4)12х/(х-у) : (х+у)/6=12х*6/(х-у)*(х+у)=72х/(х²-у²)
5)15х/(х+у)*(х+3у)/3х=15х*(х+3у)/(х+у)*3х=5(х+3у)/(х+у)
6)4/х³ : (х²+2)/х²=4*х²/х³*(х²+2)=4/х(х²+2)
7)х/у : (2у-х)/у=х*у/у*(2у-х)=х/(2у-х)
8)(х+3)/(у-4) * (у-4)/х=(х+3)(у-4)/(у-4)х=(х+3)/х
9)(а-5)/(в+4) : (а-5)/а=(а-5)*а/(в+4)*(а-5)=а/(в+4)
Приложения:

Вас заинтересует
2 года назад
8 лет назад
8 лет назад
10 лет назад
10 лет назад
10 лет назад