Ответы
Ответ дал:
0
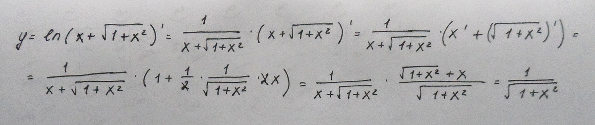
Решение прикреплено файлом!
Приложения:

Вас заинтересует
2 года назад
10 лет назад
10 лет назад