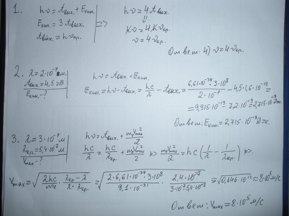
1. При фотоэффекте кинетическая энергия вылетающих электронов в 3 раза больше работы выхода. При этом частота падающего излучения V (ню) связана с частотой красной границы Vкр соотношением:
1) V= 12Vкр
2) V=2Vкр
3) V=3Vкр
4) V=4Vкр
2. Определите кинетическую энергию электронов, вырываемых с поверхности вольфрама светом с длиной волны 200нм. Работа выхода вольфрама 4.5 эВ
3. Какова максимальная скорость электронов, выбиваемых из металлической пластины светом с длиной волны 3*10^-7 м, если красная граница фотоэффекта 540нм?
Ответы
                                            Ответ дал: 
                                                                                    
                                        
                                            
                                                
                                                
                                                
                                                    0
                                                
                                            
                                        
                                    
                                        1
E = Aвых + Wk = Aвых + 3Aвых = 4Aвых
hv = 4hv(кр)
v = 4v(кр)
ответ
4) V=4Vкр
                                    
                                        
                                        
                                E = Aвых + Wk = Aвых + 3Aвых = 4Aвых
hv = 4hv(кр)
v = 4v(кр)
ответ
4) V=4Vкр
                                            Ответ дал: 
                                                                                    
                                        
                                            
                                                
                                                
                                                
                                                    0
                                                
                                            
                                        
                                    
                                        Ответы можно найти в приложении:
                                    
                                                Приложения:
                     
                            Вас заинтересует
                
                        8 лет назад
                    
                
                        8 лет назад
                    
                
                        10 лет назад
                    
                
                        10 лет назад