Ответы
Ответ дал:
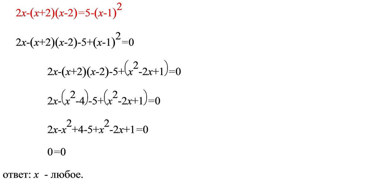
0
afqk
===========================
Приложения:

Вас заинтересует
2 года назад
8 лет назад
8 лет назад
10 лет назад
10 лет назад
10 лет назад