• Предмет: Алгебра
  • Автор: tatyankaknyaze
  • Вопрос задан 10 лет назад

Решите неравенство:
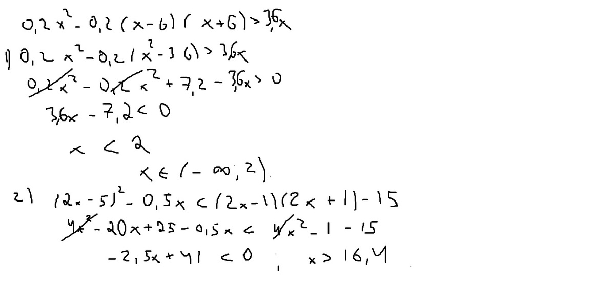
а) 0,2х²- 0,2 (х-6) (х+6)>3,6х
б)(2х-5)²-0,5х<(2х-1) (2х+1)-15

Ответы

Ответ дал: aleantchest
0
.....................
Приложения:
Вас заинтересует