Ответы
Ответ дал:
0
Лень домашку делать?
Самая простая тема 8-9 классов, неусвление которой ведет к краху в решениях дальнейших. Это тебе не тринометрия, которая только физмату нужна.
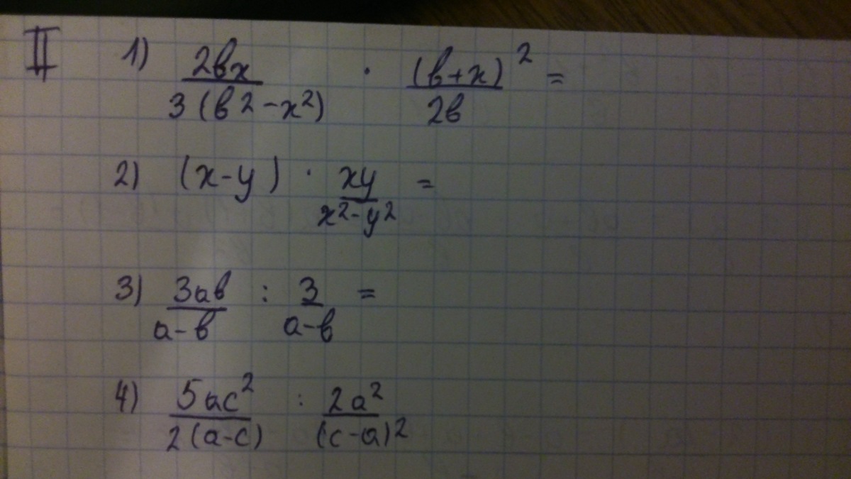
Для решения этих задач нужно знать...три формулы и три свойства степени.
1. (а+b)^2= a^2+2ab+b^2
2. (a-b)^2=a^1-2ab+b^2
3. (a+b) * (a-b) =a^2-b^2
4. Чтобы разделить одну дробь на другую, необходимо первую дробь умножать на перевёрнутую вторую.
5. При умножении можно сокращать наискосок одинаковые множители.
3. Числитель и знаменатель дроби можно разделить/умножите на одно и тоже число, при этом не изменив дроби.
Самая простая тема 8-9 классов, неусвление которой ведет к краху в решениях дальнейших. Это тебе не тринометрия, которая только физмату нужна.
Для решения этих задач нужно знать...три формулы и три свойства степени.
1. (а+b)^2= a^2+2ab+b^2
2. (a-b)^2=a^1-2ab+b^2
3. (a+b) * (a-b) =a^2-b^2
4. Чтобы разделить одну дробь на другую, необходимо первую дробь умножать на перевёрнутую вторую.
5. При умножении можно сокращать наискосок одинаковые множители.
3. Числитель и знаменатель дроби можно разделить/умножите на одно и тоже число, при этом не изменив дроби.
Вас заинтересует
3 года назад
3 года назад
8 лет назад
8 лет назад