• Предмет: Алгебра
  • Автор: vlusunova
  • Вопрос задан 10 лет назад

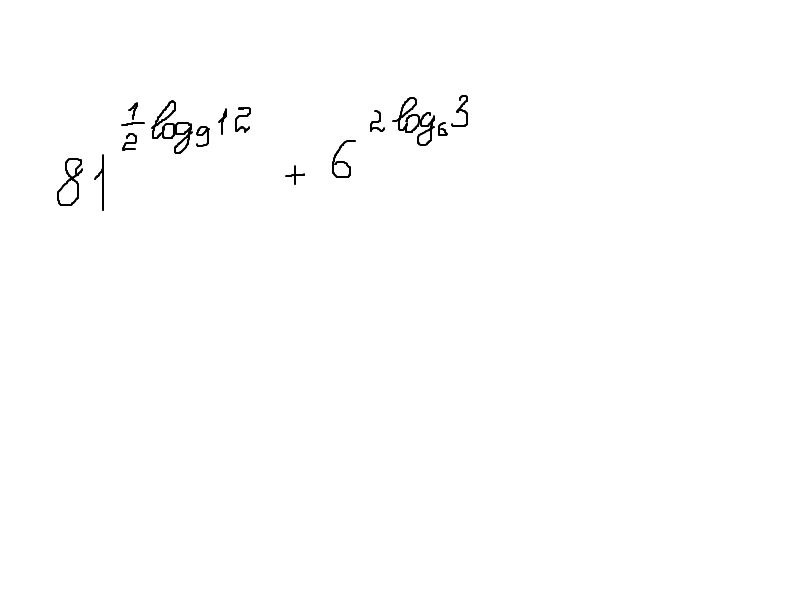
Найдите значения выражение:(во вложении)

Приложения:

Ответы

Ответ дал: NNNLLL54
0
1Смотри во вложении решение
Приложения:
Вас заинтересует