• Предмет: Химия
  • Автор: Мариныч
  • Вопрос задан 11 лет назад

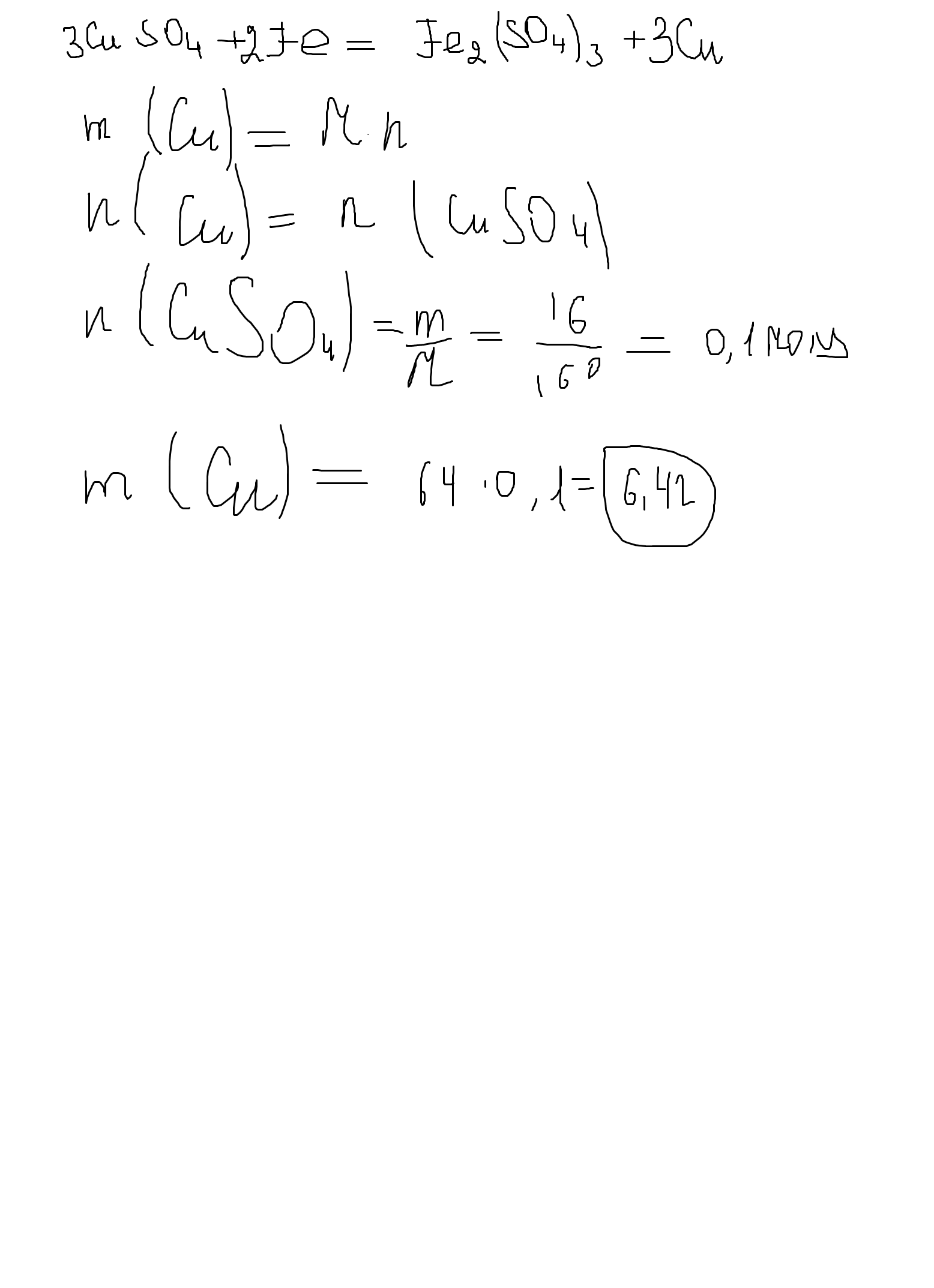
к раствору,одержащему 16 г сульфата меди, прибавили 12 г железных опилок. какая масса меди выделится при этом?

Ответы

Ответ дал: DianaI
0

смотри вложение..............

Приложения:
Ответ дал: vicon
0

Дано:m(CuSO4)=16г                Р-е: 

m(Fe)=12г                               CuSO4 + Fe → FeSO4 + Cu

m(Cu)=?                                   16г        12г                X

                                        160г/моль    56г/моль      64г/моль

                                         n(CuSO4)=m(CuSO4):Mr(CuSO4)=16г:160г/моль=0,1моль

                                         n(Fe)=12г:56г/моль=0,2моль

                                         находим по недостатку,по CuSO4

                                         m(Cu)=64г/моль*16г:160г/моль=6,4г

ответ:m(Cu)=6,4г

Приложения:
Вас заинтересует