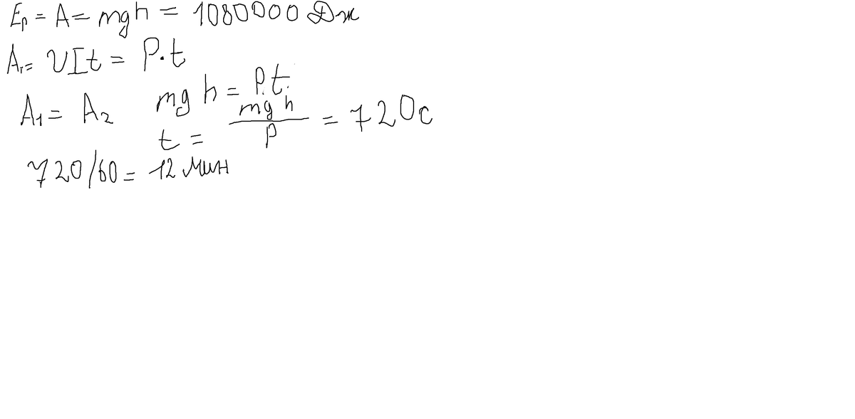
Сколько времени потребуется для откачки 9 т воды из котлована глубиной 12 м если мощность насоса 1,5 кВт. (Ответ 12 минут, напишите решение!)
Ответы
Ответ дал:
0
Ну вот! ,,,,,,,,,,,,,,,,,,,,
Приложения:

Ответ дал:
0
Общайтесь! Не моглибы оставить в комментариях положительный ответ!
Вас заинтересует
8 лет назад
8 лет назад
10 лет назад
10 лет назад