• Предмет: Алгебра
  • Автор: JuliAnn
  • Вопрос задан 11 лет назад

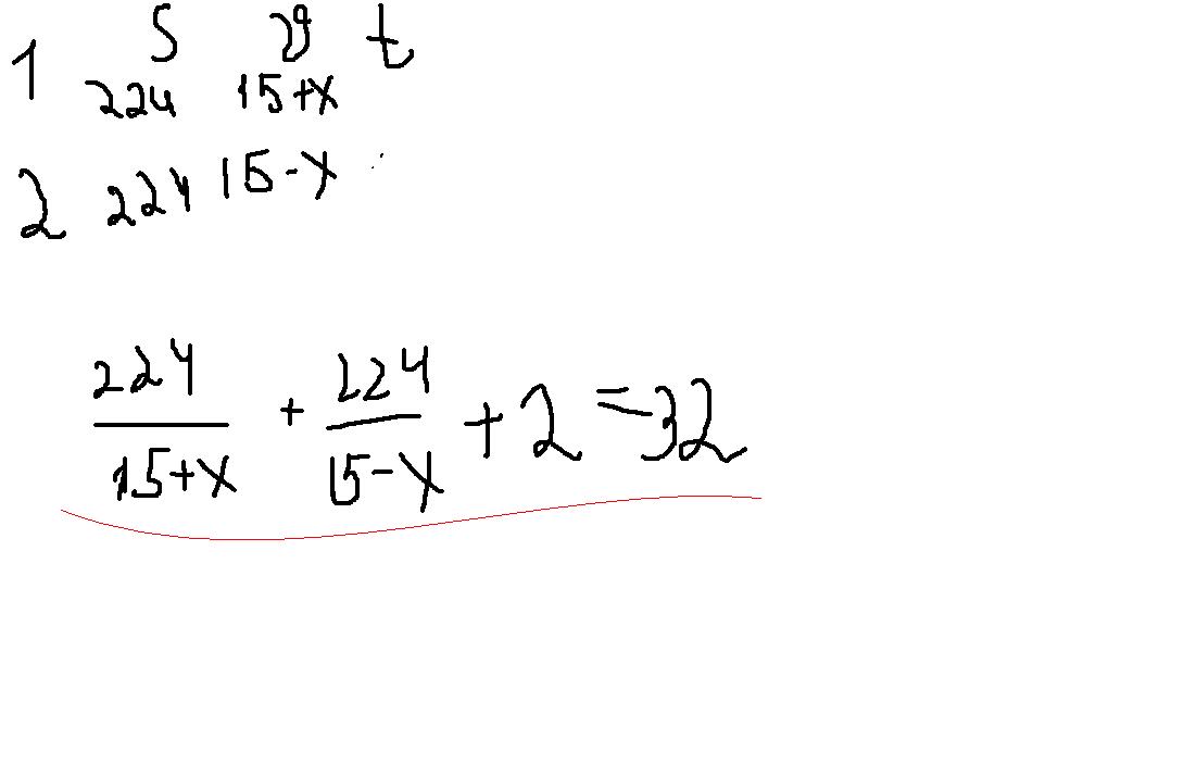
Теплоход проходит по течению реки до пункта назначения 224 км и после стоянки возвращается в пункт отправления. найдите скорость течения, если скорость теплохода в неподвижной воде равна 15км/ч, стоянка длится 2 часа, а в пункт отправления теплоход возвращается через 32 часа после отплытия из него.

Ответы

Ответ дал: zhusa
0

                           осталось дорешать)

Приложения:
Ответ дал: наида6
0

пусть х-скорость течения реки

тогда 15+х- скорость по течению,  15-х скорость против течения

224/(15+x)  +2  + 224/(15-x)=32

(224(15-x)+2(15-x)(15+x)+224(15+x))/(15-x)(15+x)=32

3360-224x+450-2x^2+3360+224x=32(225-x^2)

-2x^2+32x^2=7200-7170

30x^2=30

x^2=1

x=1

 

Приложения:
Вас заинтересует