• Предмет: Геометрия
  • Автор: inessa11
  • Вопрос задан 11 лет назад

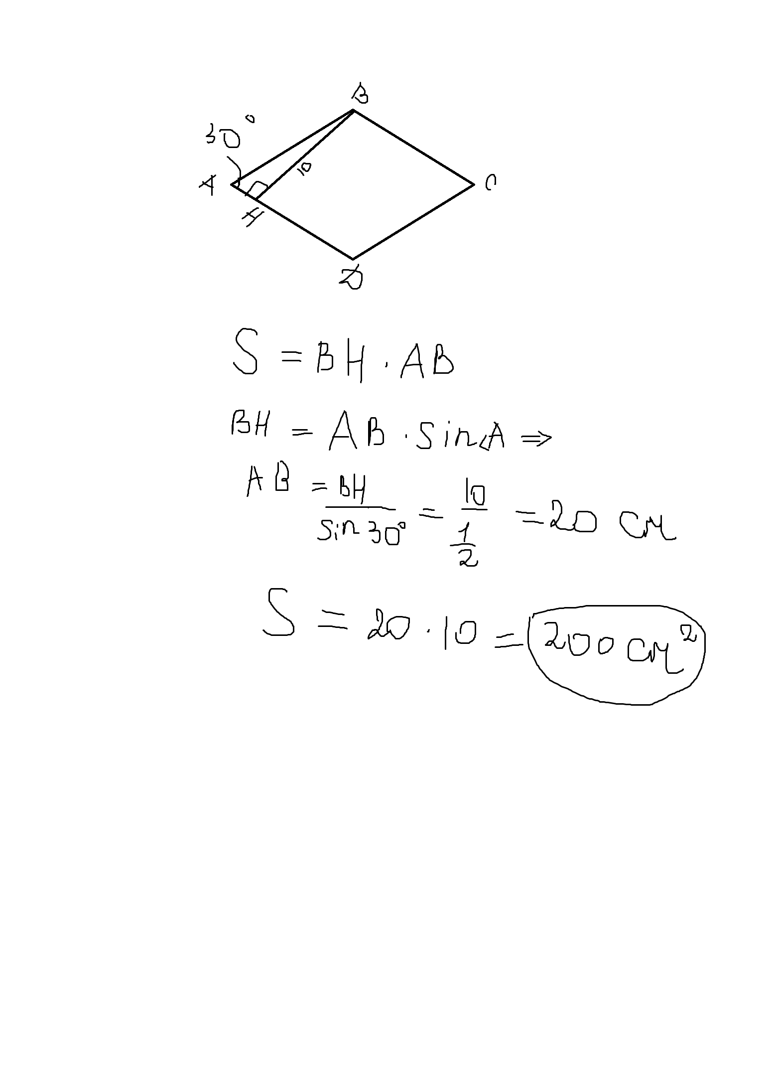
найдите площадь ромба,если его высота 10см. а острый угол 30 градусов.

Ответы

Ответ дал: DianaI
0

смотри вложение............

Приложения:
Вас заинтересует