Благодарность и выбор лучшего решения гарантирую. Кто реально поможет, можно договорится, я создам вопрос без задания, как такого, чтобы ещё балов накинуть)
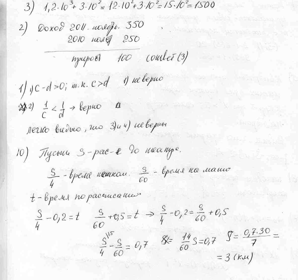
Решите, пожалуйста, тест во вложении. Завтра самостоятельная по подобным заданиям, так что нужны пояснения...
Приложения:
Ответы
Ответ дал:
0
Решил твою контрольную, в следущий раз пораньше выставляй.
Приложения:
Вас заинтересует
3 года назад
3 года назад
8 лет назад
8 лет назад
11 лет назад
11 лет назад
11 лет назад