• Предмет: Алгебра
  • Автор: ashteba
  • Вопрос задан 10 лет назад

помогите надо решить даю 32 балла очень нужно

Приложения:

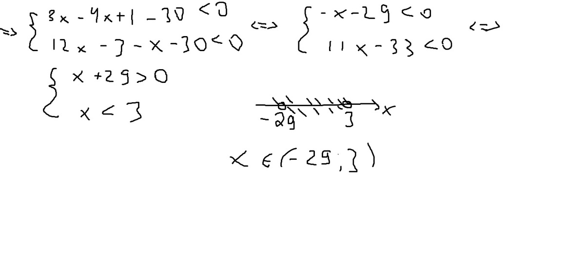
Ответы

Ответ дал: aleantchest
0
......................
Приложения:
Вас заинтересует