• Предмет: Физика
  • Автор: annonim
  • Вопрос задан 11 лет назад

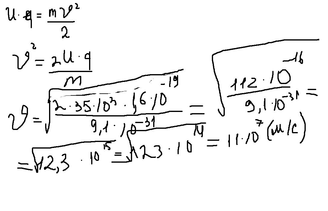
В кинескопах цветных телевизоров электроны проходят ускоряющую разность потенциалов 35 кВ. С какой скоростью электроны подлетают к экрану кинескопа?

Ответы

Ответ дал: AnnVoo
0
скорость распространения эл тока приблизительно равна скорости света, скорость электронов в проводнике значительно меньше и зависит от плотности тока через сечение проводника 
Ответ дал: zhusa
0

                 моё предположительное решение

Приложения:
Вас заинтересует