• Предмет: Математика
  • Автор: Алтмсчар
  • Вопрос задан 11 лет назад

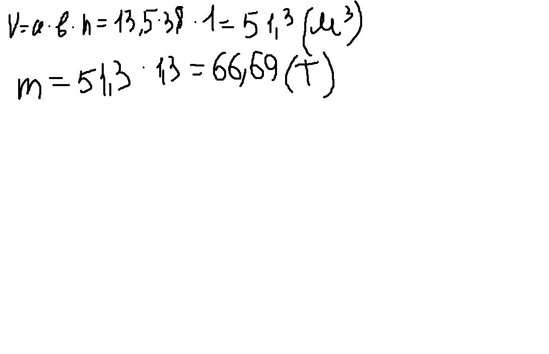
Помогите,пожалуйста решить задачу!Заранее спасибо.Задача:Каменный уголь погрузили на платформу,длина которой 13,5 метра,ширина 3,8 метра,до  высоты 1метр.Сколько тонн угля погрузили на платформу,если масса 1 метра в кубе равна 1,3 тонны?

Ответы

Ответ дал: zhusa
0

                            решение

Приложения:
Вас заинтересует