• Предмет: Физика
  • Автор: Zaika32
  • Вопрос задан 11 лет назад

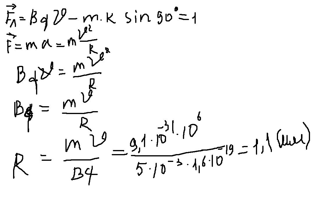
Электрон влетает в магнитное поле перпендикулярно магнитной индукции со скоростью 1Мм/с. Рассчитать радиус кривизны траектории покоторой будет двигаться электрон, если вектор магнитной индукции равен 5 мТл?

 

Ответы

Ответ дал: zhusa
0

                               решение

Приложения:
Ответ дал: sinerDt
0

F = bqvsinx        sinx = 1

F = ma

a = v^2/r

 

m*v^2/r = bvq

 

r = mv/bq

r = (9,1*10^-31 кг * 10^6м/c ) /( 5*10^-3 * 1,6*10^-19)

r =  1,13*10^-3м (1.13 мм)

Приложения:
Вас заинтересует