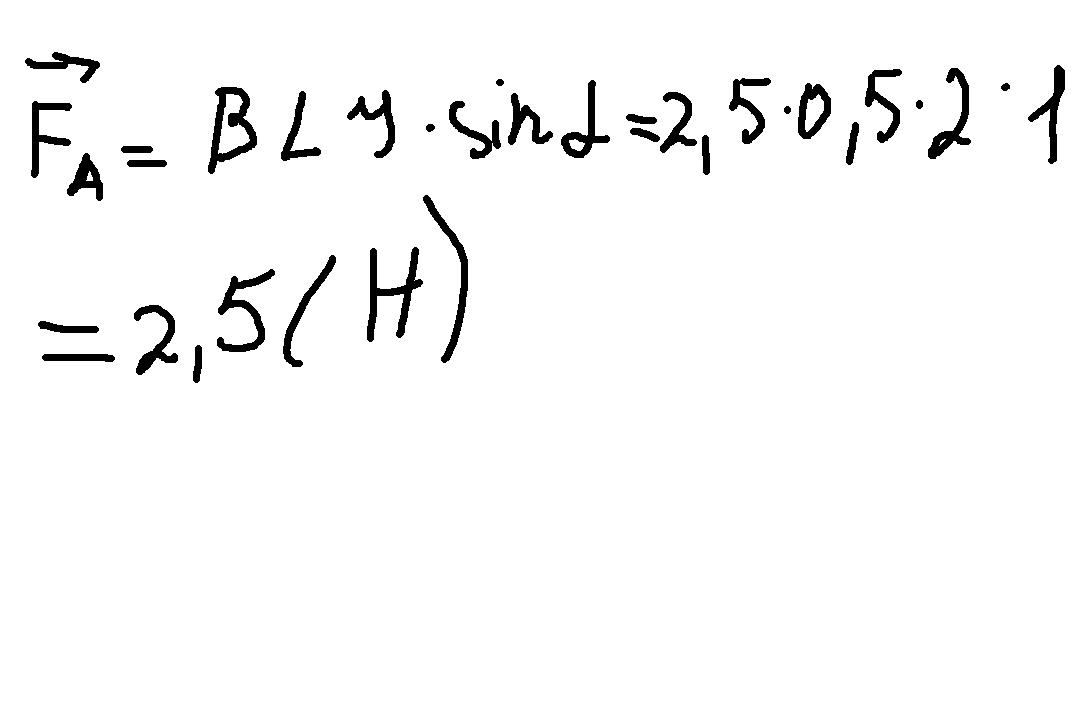
с какой силой действует однородное магнитное поле с индукцией 2,5 Тл на проводник длиной 50 см расположенный под углом 90* к вектору индукции при силе тока в проводнике 2А
Ответы
Ответ дал:
0
решение
Приложения:

Ответ дал:
0
Сила Ампера
F=BIlsinl
F=2.5*2*0.5=2.5Н
Приложения:

Вас заинтересует
2 года назад
8 лет назад
10 лет назад
10 лет назад
10 лет назад