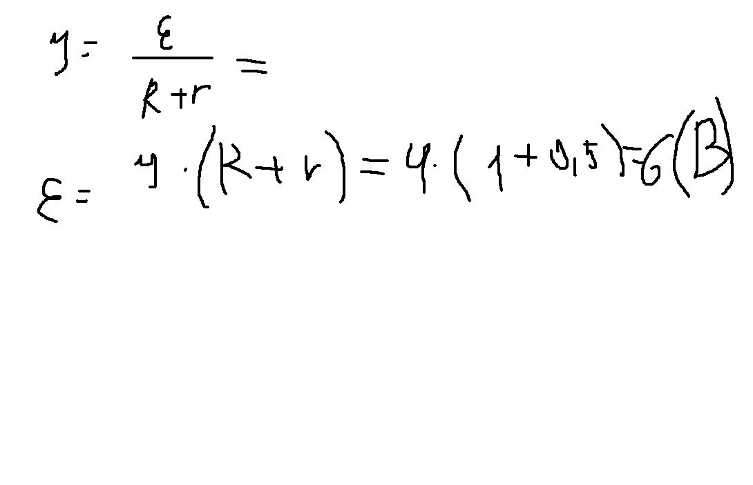
К источнику тока с внутренним сопротивлением 0,5 Ом подключили реостат. На рисунке показан график изменения силы тока в реостате в зависимости от его сопротивления. Чему равна ЭДС источника тока?
Приложения:

Ответы
Ответ дал:
0
решение во вложениях
Приложения:

Вас заинтересует
2 года назад
2 года назад
10 лет назад
10 лет назад
10 лет назад
10 лет назад