• Предмет: Физика
  • Автор: adidas2014
  • Вопрос задан 11 лет назад

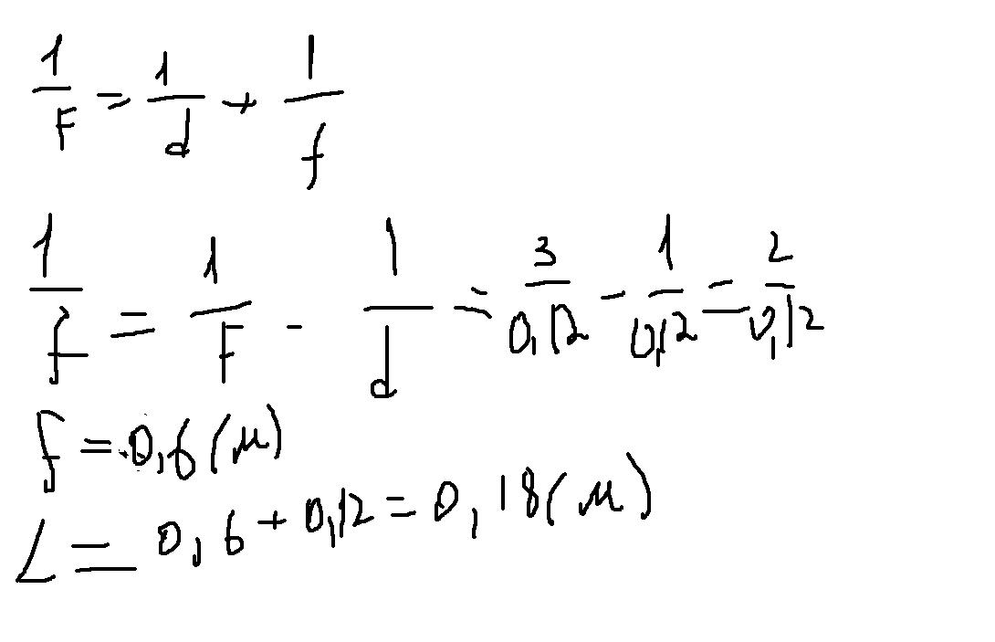
Расстояние от предмета до рассеивающей линзы с фокусным расстоянием 4 см равно 12 см. найдите расстояние от изображения до предмета

Ответы

Ответ дал: zhusa
0

                                     решение

Приложения:
Вас заинтересует