√(5-x^2) >=x+1
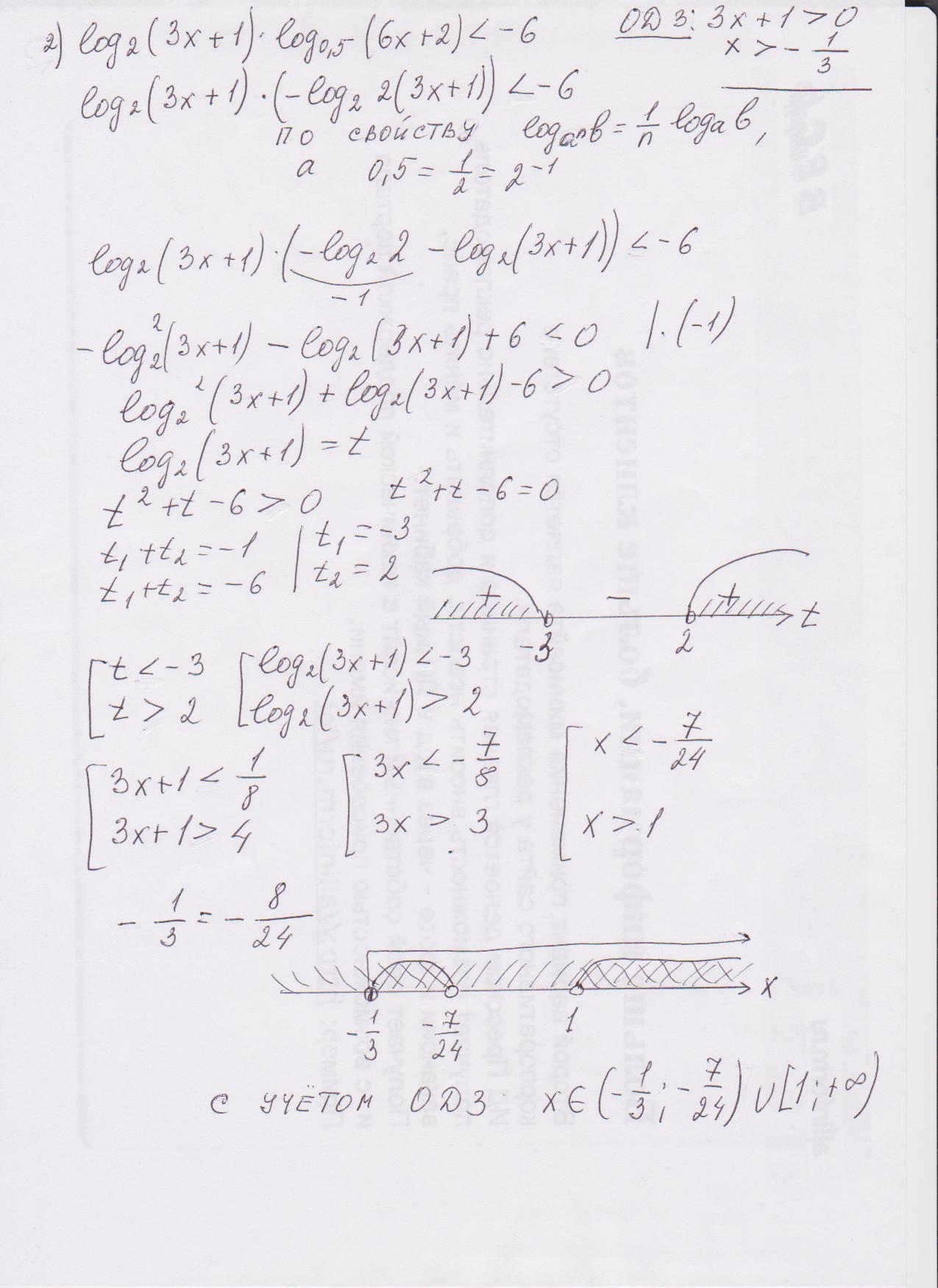
log2 (3x+1) * log0,5 (6x+2) <-6
log2 - логарифм по основанию 2
Решите,плиз,эти два неравенства
Ответы
На сколько я знаю(сталкивался однажды) первое неравенство можно решить только одним способом. Сейчас попытаюсь составить совокупность систем. Добавил во влажение.
log2 (3x+1) * log0,5 (6x+2) <-6
В выражении log0,5 (6x+2) основание 1/2 = 2^(-1), мы можем вынести степень перед логорифмом, но она будет с противоположным знаком, т.е. ничего не изменится. Проще говоря log0,5 (6x+2)=log2 (6x+2)
log2 (3x+1) * log2 (6x+2)<-6
Думаю дальше нужно заменить -6, на логорифм, т.е. log2 (2^(-6))=log2 (1/64=-log2 64
Я не уверен, но мне кажется можно записать неравенство в виде:
(3x+1)(6x+2)<-64
18x^2 +6x + 6x+2+64<0
18x^2+12x+66=0
3x^2+2x+11=0
Не уверен, что решаю правильно, приостановлюсь

Решение второго неравества во вложении.
