• Предмет: Физика
  • Автор: НОГИБ
  • Вопрос задан 10 лет назад

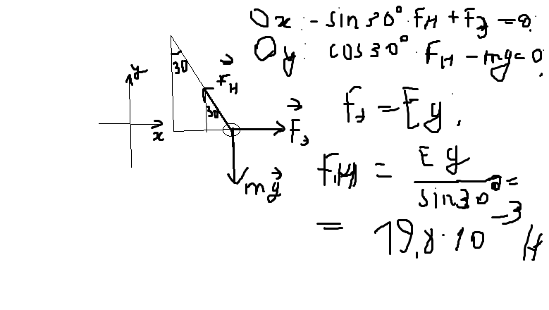
 В однородном электрическом поле с напряжённостью 3 МВ/м,

силовые линии которого составляют с вертикалью угол 30° ви­сит па нити шарик массой 2 г, а заряд равен 3,3 нКл. Опре­делить силу натяжения нити,

Ответы

Ответ дал: dimon85
0
вот так вроде бы только тут масса лишняя
Приложения:
Вас заинтересует