Ответы
Ответ дал:
0
.........................
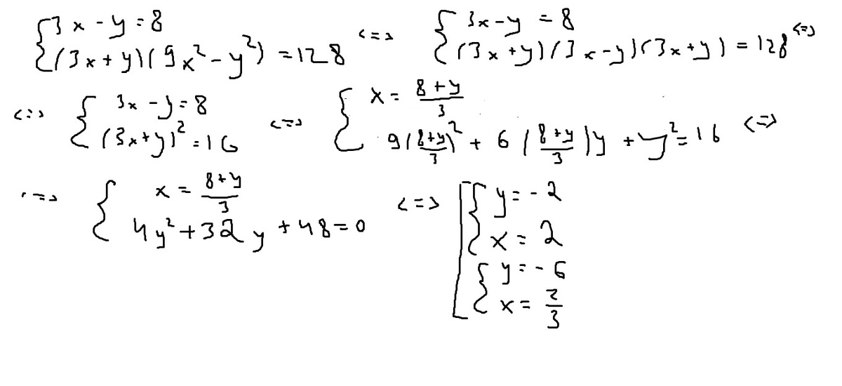
Приложения:

Ответ дал:
0
вот и как это получить?
Ответ дал:
0
все
Ответ дал:
0
спасибо))
Вас заинтересует
2 года назад
2 года назад
8 лет назад
8 лет назад
10 лет назад
10 лет назад