Два заряда по 4•10-8 Кл, разделенные слоем слюды, взаимодействуют с силой 5•10-2 Н. Определите толщину слоя слюды, если ее диэлектрическая проницаемость равна 8.
Ответы
Ответ дал:
0
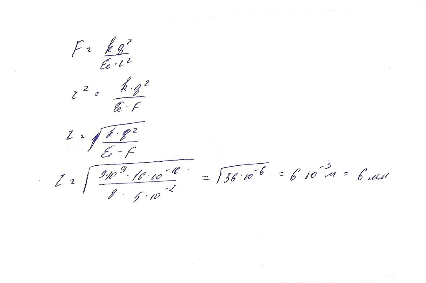
смотри во вложениях.......
Приложения:

Ответ дал:
0
Два заряда по 4·10-8 Кл, разделенные слоем слюды, взаимодействуют с силой 5·10-2 Н. Определите толщину слоя слюды, если ее диэлектрическая проницаемость равна 8.
F=5*10^-2 Н
q1=q2=4*10^-8 Кл
ε=8
k=9*10^9 H
r- расстояние между зарядами = толщина слоя
по закону Кулона сила взаимодействия
F=k q1q2 / (ε r^2)
r^2= kq^2/F ε
r= √(kq^2/F ε) = q*√(k/Fε)
r= 4*10^-8 √(9*10^9/(5*10^-2 * 8)= 4*10^-8 √(2,25 *10^10)= 4*10^-8*1,5*10^5=
= 6 *10^-3= 0,006м = 6 мм
Ответ = 0,006м=6 мм
Приложения:

Вас заинтересует
2 года назад
2 года назад
8 лет назад
10 лет назад
10 лет назад
10 лет назад