найдите производную функций указанного порядка:
y=x под корнем квадратным 4+x^3 если можно то подробно
Ответы
Ответ дал:
0
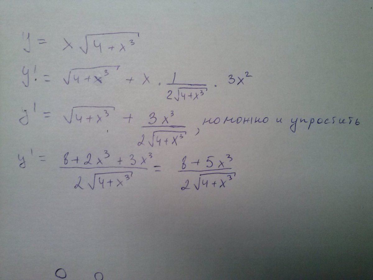
Я думаю так
На картинке все расписано
На картинке все расписано
Приложения:
Вас заинтересует
8 лет назад
8 лет назад
11 лет назад
11 лет назад
11 лет назад