• Предмет: Алгебра
  • Автор: ulbosik
  • Вопрос задан 10 лет назад

Пожалуйста помогите! Заранее спасибо)

Приложения:

Ответы

Ответ дал: Yena
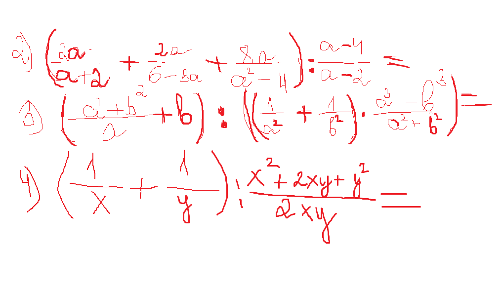
0
(frac{2a}{a+2}+frac{2a}{6-3a}+frac{8a}{a^2-4}):frac{a-4}{a-2}=  \ \ =(frac{2a}{a+2}-frac{2a}{3(a-2)}+frac{8a}{(a-2)(a+2)}):frac{a-4}{a-2}= \ =frac{2a*3*(a-2)-2a(a+2)+8a*3}{(a-2)(a+2)}:frac{a-4}{a-2}=frac{6a^2-12a-2a^2-4a+24a}{(a-2)(a+2)}*frac{a-2}{a-4}=
=frac{4a^2+8a}{{(a-2)(a+2)}}*frac{a-2}{a-4}=frac{4a(a+2)}{{a+2}}*frac{1}{a-4}= frac{4a}{a+1}

(frac{a^2+b^2}{a}+b):((frac{1}{a^2}+frac{1}{b^2})*frac{a^3-b^3}{a^2+b^2})= \ =frac{a^2+b^2+ab}{a}:(frac{b^2+a^2}{a^2*b^2}*frac{(a-b)(a^2+ab+b^2)}{a^2+b^2}) = \ =frac{a^2+b^2+ab}{a}:frac{(a-b)(a^2+ab+b^2)}{a^2b^2}= frac{a^2+b^2+ab}{a}*frac{a^2b^2}{(a-b)(a^2+ab+b^2)}=  \ =frac{ab^2}{a-b}

(frac{1}{x}+frac{1}{y}):frac{x^2+2xy+y^2}{2xy}=frac{y+x}{xy}*frac{2xy}{(x+y)^2}=frac{2}{x+y}
Вас заинтересует