Ответы
Ответ дал:
0
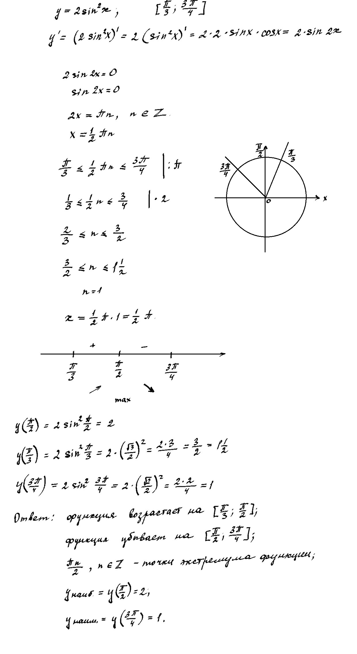
Решение в прикрепленном файле.
Найдены:
- промежутки возрастания и убывания функции на указанном отрезке;
- точки экстремума функции;
- наибольшее и наименьшее значение функции на указанном отрезке.
Найдены:
- промежутки возрастания и убывания функции на указанном отрезке;
- точки экстремума функции;
- наибольшее и наименьшее значение функции на указанном отрезке.
Приложения:
Вас заинтересует
3 года назад
3 года назад
8 лет назад
11 лет назад
11 лет назад