• Предмет: Алгебра
  • Автор: настя6790
  • Вопрос задан 11 лет назад

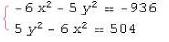
решить систему уравнений методом алгебраического сложения**

 

Приложения:

Ответы

Ответ дал: Hrisula
0

Переставим слагаемые во втором уравнении
|-6х² -5у²= -936
|-6х²+5у² =504

-12х²= - 432


х²= - 432: (-12)
х²=36
х=6

 

-6х²+5у² =504
-216 +5у² =504
5у²=504+216
у²=144
у=12

Вас заинтересует