• Предмет: Алгебра
  • Автор: Bataxe
  • Вопрос задан 10 лет назад

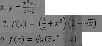
Найти производное функции. 
(не используя онлайн калькуляторы)

Приложения:

Ответы

Ответ дал: znayka56
0
насчет 7 не уверена
если не правильно прасти
Приложения:
Ответ дал: ksushka165
0
на счет 7 не знаю там что то не складывается

Приложения:
Вас заинтересует