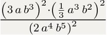
упростите выражение. (3ab в 3 степени)в 2 степени * (одну третью a в3 степени b в 2 степени)в 2 степени разделить на (2a в 4 степени b в 5 степени)в 2 степени вычислите его значение при a=минус 3 целых три четвертых и b=-1
Ответы
Ответ дал:
0
если выражение такое, то там всё сокращается, и получается 1/4
Приложения:

Вас заинтересует
2 года назад
2 года назад
8 лет назад
10 лет назад
10 лет назад
10 лет назад