• Предмет: Алгебра
  • Автор: lilia506
  • Вопрос задан 10 лет назад

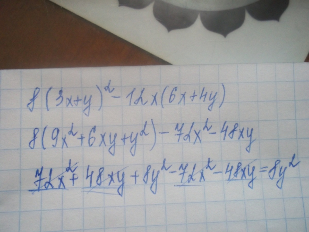
8(3x+y)^2-12x(6x+4y)
упростить выражение пожалуйста выполните

Ответы

Ответ дал: Lika19982001
0
8(3x+y)^2-12x(6x+4y)=(24х + у)*2-72хв квадрате-48ху=48х+2у-72х в квадрате -48ху= -24х+2у-48ху
Ответ дал: KrIsTiNkA5755
0
держи!!!!!!!!!!!!!!!!!!!!!!
Приложения:
Вас заинтересует