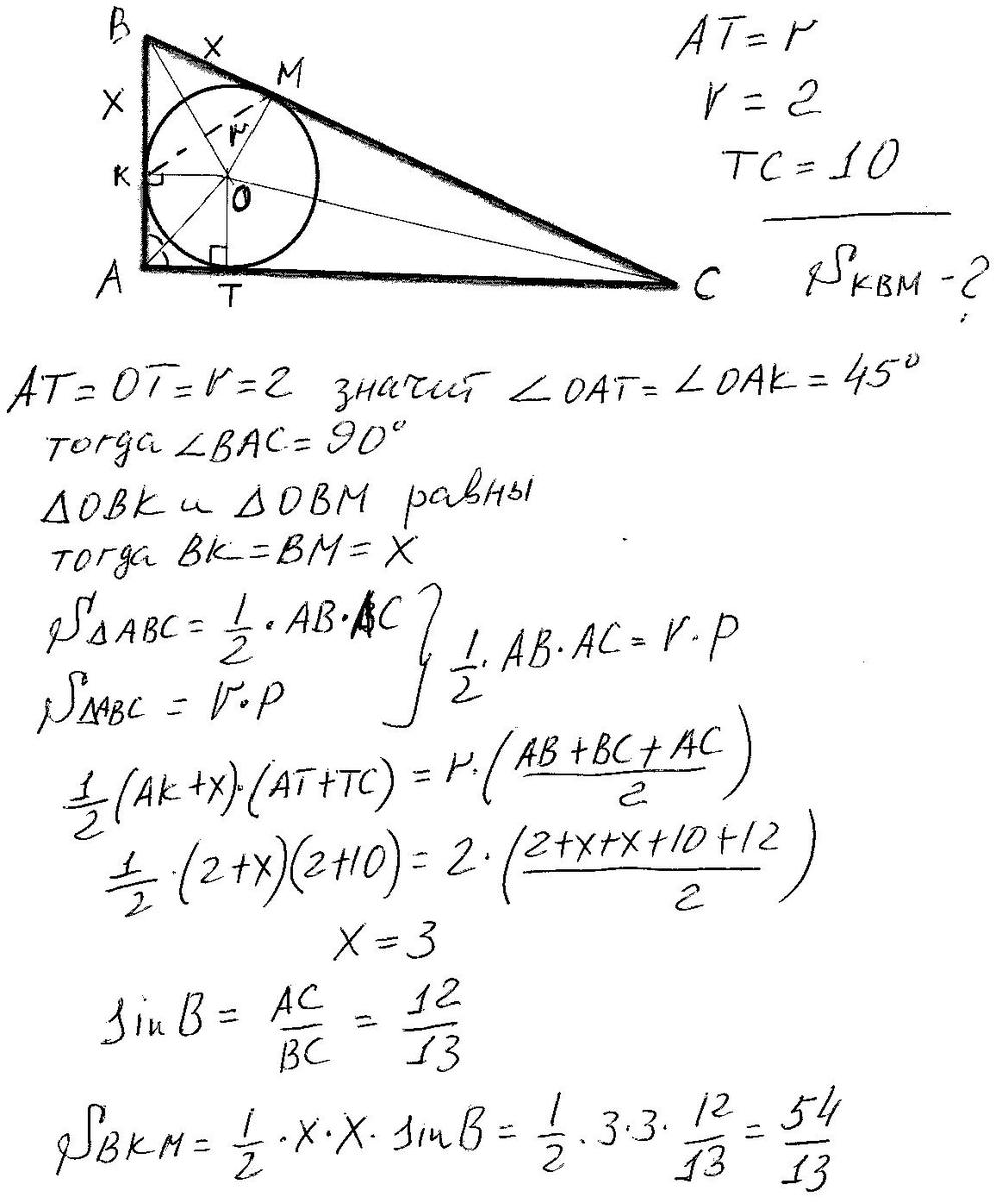
В треугольник АВС вписана окружность радиуса r , касающаяся сторон АВ и ВС в точках соответственно К и М , а стороны АС в точке Т , причём АТ = r . Найдите площадь треугольника КВМ, если известно, что r = 2 и ТС = 10.
Ответы
Ответ дал:
0
Проведём радиусы вписанной окружности(смотри рисунок). Получим прямоугольные треугольники, которые попарно равны по катету и гипотенузе.Поскольку прямоуголный треугольник ОАТ по условию равнобедренный, то угол ОАТ= ОАК=45 градусов. Отсюда уголВАС=90. Затем площадь АВС выражаем через стороны, и радиус и полупериметр.
И приравниваем. Находим Х=3. Дальше находим стороны треугольника АВС и синус В.
Затем площадь АВС=54/13.
И приравниваем. Находим Х=3. Дальше находим стороны треугольника АВС и синус В.
Затем площадь АВС=54/13.
Приложения:
Вас заинтересует
3 года назад
8 лет назад
11 лет назад
11 лет назад
11 лет назад