Ответы
Ответ дал:
0
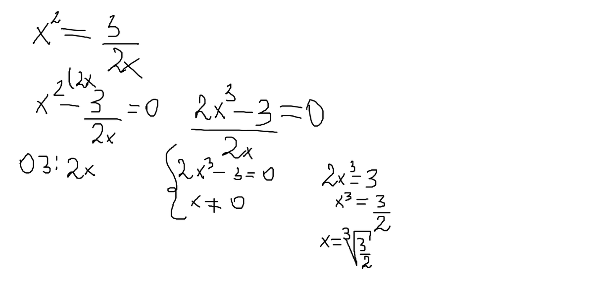
если у тебя все правильно записано,то ответ во вложении.
Приложения:

Вас заинтересует
2 года назад
2 года назад
8 лет назад
10 лет назад
10 лет назад
10 лет назад
10 лет назад