• Предмет: Физика
  • Автор: Настя2601
  • Вопрос задан 10 лет назад

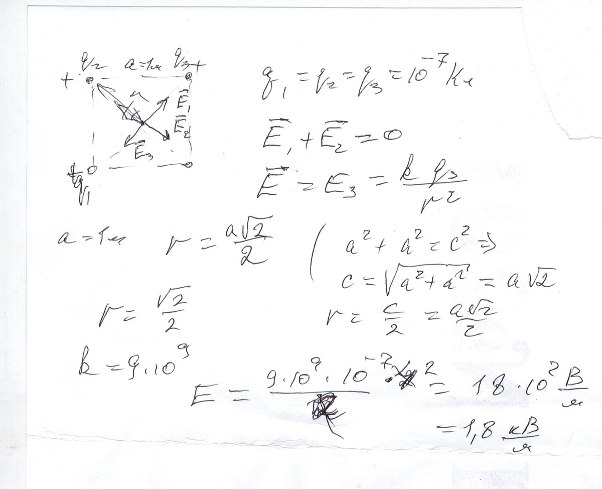
в трех вершинах квадрата со стороной 1м находятся положительные точечные заряды по 10 в минус 7 Кл. определите напряженность проч в центре квадрата

Ответы

Ответ дал: igmih64
0
смотри файлик...........
Приложения:
Ответ дал: Настя2601
0
спасибо)
Вас заинтересует