• Предмет: Алгебра
  • Автор: Кoлuбpu
  • Вопрос задан 10 лет назад

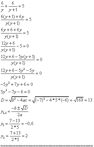
Решите уравнение
 frac{6}{y} + frac{6}{y+1}=5

Ответы

Ответ дал: triolana
0
========================================
Приложения:
Вас заинтересует